首页  部门概况  通知公告  工作动态  政策文件  质量报告  团队建设  下载中心  党支部工作  他山之石  质量文化 
专业和课程建设
当前位置: 首页>>他山之石>>专业和课程建设>>正文

杨应崧 袁洪志:职业院校内部质量保证体系运行基本单元探析

2023年06月11日 点击:[]

2015年,教育部启动了职业院校教学工作诊断与改进制度(以下简称“诊改”)建设工作。为推进和落实这项工作,全国诊改专委会提出了简称为“55821”的职业院校内部质量保证体系基本架构,要求在学校、专业、课程、教师、学生五个层面建立8字形质量改进螺旋(以下简称“8字形螺旋”)。作为一种全新的概念,8字形螺旋引起了社会各方关注。在此之前,有不少职业院校已在内部质量管理中引入戴明循环(PDCA)、ISO质量认证体系等方法,同样体现了自我诊断与改进的理念,因此,尤其渴望了解8字形螺旋到底是何方神圣,能否以戴明循环等体系代替8字形螺旋,能否将其简化为“O”字形甚至“一”字形以利推广。本文拟通过回顾8字形螺旋这一概念的生成脉络,回应职业院校的关切和兴趣者的疑问。


 


图片    
一、8字形螺旋的源与流    

   





 

 

 

自有人类社会以来,就有了社会活动和社会事务,也就有了相应的管理活动,其中包括对质量的关注和管理,时代特点又决定了质量控制的方式。不同时代的质量控制方式主要有以下几种。


(一)“线段状”模式


     第一次工业革命为世界打开了通向工业经济时代的大门,随着社会生产力的大幅提升、新型生产组织的涌现和社会关系的深刻变革,科学管理运动应运而生,其实践与理论不断发展完善。这一时代的科学管理模式强调以法定权力为基础,分工精细、权责相符、等级分明的科层式组织形式和与之相适应的工作方式:任务—计划—组织—实施—总结—激励(奖惩),姑且称之为“线段状”模式。质量管理部门的工作自然也遵循这一模式。线段状模式一事一议、有始有终、条理清晰、实施简便,也确有成效,因此在很长的历史时期中被广泛接受和采用。


“线段状”模式的问题在于,在“流变”(指社会各种“流”,如人员流、信息流、技术流、物资流、资金流等等的流量和流速)不大的环境中,这种模式很容易导致如下问题:各层级领导者、管理者危机意识不强、全局观念淡薄、权责混淆不清,目标、任务设置不科学乃至口号化,过程管理简单粗放、绩效判断主观随意等等现象比比皆是,导致在淡化目标(特别是阶段性现实目标)作用的同时,给主要为上级负责的报告留下太多修饰描摹的空间,总结和报告也就失去了应有的激励、反思及改进作用,更谈不上前鉴后师、持续改进,在非生产领域尤其常见。


(二)戴明循环


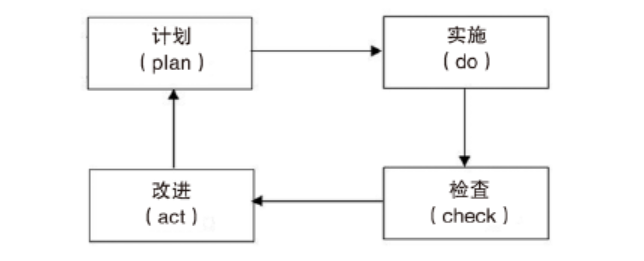
     随着经济社会的发展进步,社会“流变”水平快速提高,在这样的背景下戴明学说崭露头角。戴明学说的内涵非常丰富,核心思想集中体现于著名的“戴明14点”,其中影响最为广泛的莫过于戴明循环,也即PDCA循环。戴明循环由计划(plan)、实施(do)、检查(check)、改进(act)等4个相互衔接的基本环节组成(如图1),其主要内涵包括四点。一是“计划”包含长远目标、原则、方针的确立。戴明一再强调,最高领导层要从纷繁复杂的日常事务中解脱出来,确定正确的发展战略,把改进产品质量和服务作为恒久的目标,永远以质量取胜。二是“检查”要用数据说话。戴明创立了在质量管理中引入统计学的理论,是把统计分析技术应用于非生产活动的先驱者。三是“PDCA”不是一个封闭的圆环,而是有始无终、首尾相继、螺旋上升的质量提升过程。四是该循环适用于各个层面,从组织到个人都可以建立PDCA循环,最终形成“大环套小环”的总体格局。


图片图1 戴明循环示意图


 

二战后的日本企业从戴明循环中学会了全面质量管理技术,取得了令世人惊叹不已的经济成就。有鉴于此,戴明循环理所当然地得到普遍认同与广泛应用。但在其实践中常常出现的问题包括:“检查”以事后总结材料为主,流于形式;改进滞后且针对性不强,改进的效果不明显;循环只存在于最高管理层,没有底下层面“小环”的承载和互动,未能消除一切影响员工积极性的因素。分析其产生的原因,除了实践者对戴明循环理解不深刻、实施不到位之外,还受到另外两个因素的影响。一是戴明循环对在质量保证中起着关键作用的“目标”关注得不够。尽管戴明循环中的“计划”包含了目标的确立,但只是停留在长远的、战略性的一般描述上。“计划”强调的是“质量不是来源于检验”[1],应当坚持防患于未然的理念。而且,戴明竭力反对为员工设定可计量的目标。目标的不清晰不具体自然导致“检查”的随意和结论的模糊,目标的作用无法得到充分体现。二是囿于当时的信息技术,在多数情况下,数据无法实现源头实时采集,更遑论即时交流、互动、分析、展示,常态化实施鲜有可能。所以,戴明所提倡的“用数据说话”,只能停留在对历史数据的统计分析上,可以起亡羊补牢的作用,却很难做到监测预警、实时改进。


(三)目标管理理论


    20世纪50年代,彼得·德鲁克创造了“目标管理(MBO)”概念。他认为,管理首先需要明确目标;目标管理应当成为管理者的第一要务;目标管理的最大优点在于产生自我激励,激发人们的内在动力和潜力。这一理论的贡献在于,不仅强调了目标的重要性,而且要求高层管理者对所确定的总体目标进行逐层分解,直至转变成各个部门和个人的分目标,形成完整的目标体系。目标管理理论弥补了戴明循环的不足。如果依据目标管理理论对戴明循环进行适当修正,将目标的确立作为工作的起点,并有具象化的标准予以支撑,“检查”就显得简单明了,反馈就能够有的放矢,“改进”就容易收到成效。伴随总体目标的逐层分解,“大环套小环”的联动机制也就不难形成。

图片图2 戴明循环用目标管理理论改进后的工作模式示意图


(四)“双台”模式


     众所周知,计算机和存储设备的发明引发了第二次数据爆炸[2],人类社会由此进入知识经济时代。知识经济时代必然呼唤适应其特点和规则的新的组织形式出现,学习力和创造力成为了组织和个人的核心竞争力。


     知识管理理论认为,在知识经济时代,必须坚决摈弃那种跟着经验或者感觉走的所谓“改进”。因为,如果在变化“快、广、深、大”,迭代周期极短的世界里,某个主体不拥有“改善心智模式”的自觉,不掌握最新的知识与技术,不具备创新的思维与能力,其“改进”就只能是按下葫芦浮起瓢式的顾此失彼,或是翻烧饼式的来回折腾,到头来只能是同一水平上的周而复始直至灾难性崩塌,而且崩塌会来得非常快。因此,无论是组织还是个人的工作方式都必须从工业经济时代的只有“前台”转变为知识经济时代既有“前台”又有“后台”的方式。所谓“后台”,指的是完成一项任务之后,必须进行认真的回顾、反思、诊断、评价,并深挖存在的主要问题,剖析其产生的原因,加以有效的改进。该理论同时强调,“改进”的前提和基石是知识的“学习”和“创新”。大卫·加文认为,“学习型组织是一个善于创造、取得和传播知识的组织,并且善于改进它的行为,以反映新的认知”。显而易见,学习型组织是能够适应知识经济时代特点的组织形式。图3是借助学习型组织的理念,对前面所述的工作方式修正后的示意图。

图片图3 学习型组织工作方式示意图


(五)8字形螺旋


     随着网络信息技术的突飞猛进,当今社会几乎所有伴随过程产生的人、物、事相关数据的实时采集、瞬时共享、即时交流、及时展现已经成为可能,“三全”(全员、全过程、全方位)保证终将成为现实。有了现代网络信息技术的支撑,教育教学质量不应当再满足于事后的总结回顾、统计分析和亡羊补牢式整改,而是必须高度重视对过程的实时监控,将一切可能影响人才培养质量的问题消弭在萌芽状态。正是出于这样的考虑,才有了8字形质量改进螺旋(如图4所示)。


图片图4 8字形质量改进螺旋示意图


综上所述, 8字形质量改进螺旋是全国诊改专委会的一项创新性研究成果,但循着质量保证理论与实践发展的脉络来看,它的诞生其实是一种水到渠成的必然。并且,它是当今时代适用于所有组织和个人的工作方式。


 

 

 


图片    
二、内部质量保证体系的基本运行单元和诊改试点院校的创新实践    

   





 

 

 

2013年11月,党的十八届三中全会通过的《中共中央关于全面深化改革若干重大问题的决定》提出:“深入推进管办评分离,扩大省级政府教育统筹权和学校办学自主权,完善学校内部治理结构。强化国家教育督导,委托社会组织开展教育评估监测。”“诊改”正是职业院校在管办评分离背景下实施的一项改革探索,目的在于“建立职业院校教学工作诊断与改进制度,引导和支持学校全面开展教学诊断与改进工作,切实发挥学校的教育质量保证主体作用,不断完善内部质量保证制度体系和运行机制,……,对加快发展现代职业教育具有重要意义”[3]。要把质量保证的责任真正落到实处,学校就必须下一番绣花功夫,从“神经末梢”开始改变每个部门、每位师生员工的工作(学习)方式,把大大小小的内部质量保证体系基本单元——8字形螺旋建立起来,并进入常态运行、良性互动。建设以8字形螺旋为基本单元的内部质量保证体系的现实意义主要体现在以下几个方面。        


一是通过强调质量目标的科学设置和相应标准的建立,促使各层面主体清醒认识到质量保证的应尽责任。各主体要主动深入实际、探摸社会需求,始终坚持服务“两个发展需求”的正确方向。与此同时,通过共同打造“目标链”和“标准链”,逐步实现顶层设计和各个层面的对接统筹,达到凝心聚力、相互激励、协同共进的作用。    

   

二是有利于促使各层面主体自觉以目标为统领、以问题为导向,做到事先深思熟虑、事中监控纠偏、事后提升改进,始终保持旺盛的学习力和创造力,激发谋进求变的内在动力。        


三是有利于创造“人人有责、人人尽责、人人享有”的先进质量文化。各主体8字形螺旋的有效运行必定引发上下、左右间的联动机制,由此产生“1+1>2”的团队学习力和创造力,也有助于消除工作中的盲点和死角。    

 

四是把“三全”从设想变为现实。“三全”保证质量的设想由来已久,实施难点在于技术难支撑、载体不落实。如今,网络信息技术条件已经具备,再将主体和8字形螺旋相结合,载体问题迎刃而解, “全员”“全程”“全方位”也就不难落到实处。    

   

结合诊改试点院校的实践,我们将企业诊断学、目标管理、零缺陷思维、知识管理等理论引入实践中,提出了多元主体质量治理的“诊断与改进”工作模式。该模式以纵向5个系统为骨架,横向5个层面为主体,以8字形螺旋为运行单元,形成了“五纵五横”网络化联动结构、“8字形螺旋”基本运行单元、“双引擎”(文化、机制)常态化动力机制、“一平台”智能化技术支撑的“55821”职业院校内部质量保证理论体系。按照“质量归根结底靠自身保证”的理念,以打造院校发展、人才培养“目标链、标准链”为诊改逻辑起点,做实目标的质量标准;借助信息技术实现源头数据即时采集、过程实时监测预警与分析,构建了学校、专业、课程、教师和学生五个层面适时诊改的常态化内部质量自主保证运行模式。该模式可通过岗位激励、认可激励、考核激励、成长激励等激发质量生成活力,塑造质量精神和质量文化。      

8字形螺旋持续运行的原动力来自于质量保证主体真真切切的获得感,因此,激发原动力是质量保证从被动转为主动的难点、关键。经过这几年的努力,如无锡职业技术学院、黄河水利职业技术学院、陕西工业职业技术学院、淄博职业学院、常州工程职业技术学院、上海电子信息职业技术学院、天津市第一商业学校、上海市贸易学校、佛山市南海区盐步职业技术学校等一批职业院校的8字形螺旋建立不仅起步早而且做得实,目前已经进入制度化运行阶段。师生员工开始有了获得感,并正在逐步走向常态化运行。诊改试点院校的共同经验是问计于需求、“获得感”驱动、智能化开路。他们善于从转变管理形态、教学形态入手,把师生员工从简单繁杂的劳动以及低效率的工作环境中解脱出来,将主要精力集中到紧扣目标的高质量、工作的高效率上,腾出时间来学习新知识、新技术、新技能,在此基础上不断创新、改进、提升,最终实现组织与个人的同步高质量发展。      


实践证明,8字形螺旋不是专为诊改凭空杜撰的虚妄概念,它融入了戴明的持续改进理念,确立了目标的起点地位,突出了学习力和创造力培育。而且,因为有现代网络信息技术的支撑,具备了伴随过程的即时改进功能,使得“全员参与质量保证”“零失败教育”等等美好愿望有了实现的可能性。从“线段状”模式到PDCA循环到“双台”模式再到8字形螺旋,折射出从工业经济到知识经济到新工业时代的变迁脉络,是中国职教人对第四次工业革命即将带来的新形态、新需求的探索性回应。


 

 

 


图片    
三、8字形螺旋推广中存在的误区和改进的对策    

   





 

 

 

 8字形螺旋的建立涉及工作中的所有层面、岗位、人员,是对传统思维方式和工作习惯的颠覆性改造,而且没有成熟的样板、经验可供学习借鉴,在起步推广阶段,受到指责非难、遭遇难题阻力在所难免。此时,至关重要的是要有咬定青山不放松的决心定力、抓铁有痕的实干精神,还要有善于激发内生动力的巧劲智慧。      

 

(一)运行8字形螺旋存在的误区      

为了建立覆盖所有层面、岗位、人员的8字形螺旋,职业院校首先要联系实际,学懂弄通习近平新时代中国特色社会主义思想,做好做深质量强国战略思想的学习和宣传,将现代质量意识和先进质量保障理论、方法逐层传递到学校所有师生员工,引导大家全面、准确、深刻地理解和把握其实质,避免陷入常见的认识误区。    

 

一是主体不同一。忽略了8字形螺旋是适应当今时代要求、普遍适用于各层面主体的工作方式,是将质量保证责任落实到“人人”的可靠载体,是主体“自我净化、自我完善、自我革新、自我提高”意识的扎实体现,简单地将其异化为衔接不同主体的管理流程,结果必定是各种“螺旋”满天飞,8字形螺旋的实质内涵面目全非,实践意义荡然无存。      

二是工作起点迷失。习近平总书记一再强调要“坚持目标引领和问题导向”,并在工作中身体力行这一理念。无数事实表明,如果不善于“积势蓄势谋势”、不善于“识变求变应变”[4],做工作不是先有目标、标准,而是信马由缰、我行我素,自我诊断就成了现状罗列、自我表彰,问题导向只能是拍脑袋、走形式,最终导致职业院校忘记了主体地位、没有了责任担当、遏制了内生动力。  

   

三是忽视联动。质量管理大师约瑟夫·朱兰曾经指出,“在所发生的质量问题中,追究其原因,只有20%来自基层操作人员,而80%是由于领导责任所引起的”。类似地,学校某一层面自我诊断发现的问题,究其原因,往往不全是该层面的主体造成的,也不是该层面能够独自解决和改进的。因此,应当坚持“系统治理”“综合施策”理念,针对诊断出的问题实事求是地分析原因,找到相关主体的责任,各负其责地加以改进,由此产生联动机制,逐步形成“共创、共治、共享”的良好氛围。    

 

四是不重视学习创新。在知识经济时代,“学习”和“创新”是“改进”的前提和基石。“诊改”做得好的院校都非常重视在学习的基础上,创造性地推进“诊改”,如怎样科学地树立目标、制定标准;怎样选择诊断点、设置预警值;如何设计实施方案、链接激励机制;如何梳理职责、完善制度;如何应用网络信息技术改变教学、学习、工作、管理、合作、服务、生活形态等等。有的院校因此创建了一站式网上办事大厅,有的创造了“学生画像”“教师画像”,有的引入了“一页纸”过程管理,有的建立了自下而上的诊改联动机制,有的正在探索考核从形式到内容的转型升级,受到师生员工的由衷欢迎。  

     

五是不重视制度建设。从无到有建立8字形螺旋必须要有相应的制度做保证,建设过程既要明确主体责任、建设标准,还要明确自诊周期、改进实施、效果考核等运行要求。否则,建立内部质量保证体系就永远是坐而论道、纸上谈兵。


习近平总书记告诫我们要准备“付出异乎寻常的努力”,职业教育的提质升级也不可能一蹴而就。读书要经历从“厚”到“薄”的过程,方能把握其精髓。创新须以学习吸收为前提,方能取得实质性突破。不下真功、不出实招,开步不稳就想跳跃,那样的“诊改”只能是玩概念、走形式,结果必定是理念落后、思路混乱、风气不正、质量滑坡、危及生存。

       

(二)运行好8字形螺旋的对策建议        


针对“诊改”过程中8字形螺旋建立和运行存在的问题,笔者结合其演进脉络、产生历程以及试点院校的实践经验,提出如下对策建议。        


一是加强对质量治理新理念的学习和实践。8 字螺旋的核心是各层面质量保证主体的自我诊改、自主保证。习近平总书记指出,要“从自治、法治、德治相结合,到人人参与、人人尽力、人人享有,共建共治共享的社会治理格局正将国家治理体系和治理能力现代化推向新境界”。职业院校要通过分层分类培训,帮助师生准确把握、深刻领悟诊改理念和8字形螺旋内涵要义,使其在各地各校落地开花,最终变为师生员工的自觉行动。      

 

二是明确责任主体,完善螺旋运行制度。为保证各层面8字形螺旋运行顺畅、监测预警及时、诊断改进有效,需要明确各层面的责任主体和运行周期等。从试点院校的实践看,学校层面的工作一般以二级单位为主体,以年度为诊改周期,按月度监测预警;专业层面的诊改主体是专业团队,一般以三年为诊改周期,按学期监测预警;课程建设诊改主体是课程团队,一般以立项建设周期为诊改周期,按季度监测预警;课程教学诊改主体是任课教师,一般以学期为诊改周期,按半个月监测预警;教师层面诊改主体是教师个人,一般以岗位聘任期为诊改周期,按月度监测预警;学生层面诊改主体是学生个人,一般以学期为诊改周期,按月度监测预警。学校对各层面的诊改要形成联动机制,并与相关考核相结合,形成螺旋持续运行的动力。        


三是正确理解螺旋,做到操作简便易行。8字形螺旋本身包含了事前、事中、事后三部曲,强调了事前把“目标和标准”作为逻辑起点,事中实行监测预警和实时改进,事后做好诊断和改进。学校在运行中要结合工作实际,在螺旋的每一个环节标注工作要点,指导实践操作,在螺旋的运行中形成“人人重视质量、人人创造质量、人人享受质量”的氛围,实现质量的共创、共治、共享,不断优化治理体系,为实现高职院校治理能力现代化打下坚实的基础。  

     

四是加强信息化建设,提升对螺旋运行的支撑水平。8字形螺旋如果缺乏源头、实时、多维度、全方位的大数据支撑,没有先进的网络信息技术环境,是很难达到预期效果的。《中国教育现代化2035》提出:“建设智能化校园,统筹建设一体化智能化教学、管理与服务平台。推进教育治理方式变革,加快形成现代化的教育管理与监测体系,推进管理精准化和决策科学化。”学校是质量信息的生成源头,学校、专业、课程、教师、学生五个层面运行的数据采集平台为构建省和国家层面的质量监测平台提供了可靠基础。我国高职院校应在十年的状态数据采集平台建设和经验基础上,立足新工业时代的发展趋向,进一步确立智能化的建设目标、加大投入和推进力度,为8字形螺旋的运行提供强有力的信息化支撑,为国家和省级职业教育质量监测与考核打好基础。


 

 

 




下一条:何谓职业教育的“质量”?


关闭

质量管理处

CopyRight@2022  四川职业技术学院质量管理处